Ir al contenido principal

Formula general

Una fórmula general es una expresión que puede usarse para obtener el valor de una variable a partir de determinados datos

Usualmente, con la fórmula general se hace referencia a aquellas que permiten resolver ecuaciones cuadráticas, es decir, ecuaciones de segundo grado.

Ejemplo:

ax2+bx+c=0

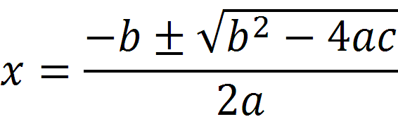
Teniendo esto en cuenta, la formula general para resolver la ecuación recibe esta forma

Esta ecuación tiene 2 raíces o dos posibles soluciones, cada una puede ser calculada mediante el mismo proceso simplemente cambiando un signo de suma por el de resta o viceversa en el numerador, entre -b y la raíz cuadrada de b2-4ac

6x2-19x+7=0

Tomando como referencia la fórmula mostrada previamente, a=6, b=-19 y c=7.

Entonces, resolveremos de la siguiente manera:

Para terminar el tema te dejamos un video y una presentación interactiva que te ayudaran a comprender por completo el método 


Por despeje

como podrás ver en la imagen, este tipo de solución sirve con ecuaciones del tipo "puras", es decir que carecen de un termino lineal, lo que la vuelve en lo que creo yo el tipo de ecuación cuadrática más fácil de resolver, y veremos un ejemplo de ello.

  • Primero verifica que la ecuación este correctamente acomodada
  • después pasa el termino independiente al otro lado de la igualdad 
  • enseguida divide  ambos por el coeficiente de x
  • y para terminar aplica raíz cuadrada en ambas parte para eliminar la potencia 2 y obtener el resultado 

como puedes ver de echo es bastante intuitivo como se soluciona pero para que te quede aun más claro el tema de dejamos un video abajo.

y en la parte de referencia te dejamos un diagrama de flujo donde se explica de forma mas sencilla 


Factorización por factor común 

Por mi experiencia puedo decir que está es una de las formas mas fácil de resolver una ecuación de segundo grado completa completa, siempre y cuando seas bueno con múltiplos 

  • Identifica que es incompleta mixta
  • Encuentra el factor común (multiplica el máximo común divisor de los coeficientes por la parte literal común con menos exponente)
  • iguala a 0 el producto de la multiplicación del factor común y la ecuación
  • iguala cada factor a 0
  • Despeja la incógnita en cada factor y escribe las soluciones.

si te quedaste con dudas mira este video  donde  aplican el método en 4 ejemplos 


Factorización de un trinomio

  • Ordena e iguala la ecuación a 0
  • Elimina el termino independiente del primer termino
  • Divide los dos miembros entre el coeficiente del término cuadrático y simplifica
  • Divide el coeficiente del término lineal entre 2 y eleva al cuadrado
  • Suma el número obtenido en los dos miembros de la igualdad y simplifica
  • Factoriza el primer miembro como un TCP.
  • Despeja X y simplifica

si aun te quedaste con dudas te recomendamos ver el video que se muestra a continuación


Completa el trinomio cuadrado perfecto 

Este podría considerarse como el método mas largo pero igual de efectivo. (les recomendamos ocupar este método si el termino cuadrático no tiene un coeficiente mayor a 1)

  • Para empezar tienes que ver que la ecuación este acomodada correctamente 
  • Despues pasa el termino independiente al otro lado de la igualdad 
  • Enseguida divides el coeficiente del termino lineal entre 2 y esa división elevarla al cuadrado (agrega esta división en ambas parte de la igualdad)
  • Esto ya crea un trinomio cuadrado perfecto que convertiremos en un binomio al cuadrado 
  • Para hacerlo podemos la "x" del primer termino, el signo del segundo y la división que acabamos de hacer, todo esto elevado al cuadrado
  • El siguiente paso es desarrollar todas las operaciones del lado derecho de la igualdad
  • Realizamos la división del binomio
  • Para eliminar el cuadrado del binomio lo pasamos como raíz al lado derecho, (recuerda que se pone un "+-" antes de la raíz)
  • Despejamos "x" pasando el otro número al otro lado del signo igual con su signo opuesto  pero antes de la raíz
  • Esto ya nos da las dos posibles soluciones las cuales expresare con las literales "a" y "b"
  • x1= a+√b
  • x2=a-√b

como veras es un método extenso y pude que te haya quedado alguna duda, así que te dejamos un video que explica todo este procedimiento con un ejemplo muy fácil.

Referencias: